


锂电池是一种以锂离子为电荷载体的可充电电池,广泛应用于便携式电子设备、电动汽车(EVs)、能源存储系统以及其他多种应用中。锂电池由正极材料、负极材料、电解液、隔膜、电池外壳等部件组成,其中
1.正极材料:常见的有锂钴氧化物(LiCoO2)、锂铁磷酸盐(LiFePO4)、锂镍锰钴氧化物(NMC)等。
2. 负极材料:通常使用石墨或硅基材料。
3. 电解液:含有锂盐的有机溶剂,如六氟磷酸锂(LiPF6)溶解在碳酸酯类溶剂中。
4. 隔膜:一种多孔材料,允许锂离子通过,同时防止电极间的物理接触。
5 .电池外壳:保护内部组件并提供结构支持。
如新能源汽车上使用的磷酸铁锂电池和三元锂电池,正极使用的配方与主量元素间的配比,直接决定电池的能量密度、充放电循环效率等。正/负极材料与点解液中的杂质元素含量,对电池品质也有着重要影响,珀金埃尔默分析仪器对上述质量控制节点,均有很好的解决方案。
1、ICP-OES/ICP-MS正极材料分析中的应用
锂电池的正极质量影响着电池的充放电性能,其中正极的主量元素配比以及杂质元素的浓度尤为重要。当正极材料中存在铁(Fe )、铜(Cu)、铬(Cr)、镍(Ni)、锌(Zn)、铅(Pb)等金属杂质时,电池化成阶段的电压达到这些金属元素的氧化还原电位后,这些金属就会先在正极氧化再到负极还原,当负极处的金属单质累积到一定程度,其沉积金属坚硬的棱角就会刺穿隔膜,造成电池自放电。自放电对锂离子电池会造成致命的影响,因而从源头上防止金属异物的引入就显得格外重要。

图1. 电池正极材料
现阶段的众多锂电池企业,均采用ICP-OES作为主量元素配比以及杂质元素浓度的测定工具。使用ICP-OES测试主量与杂质元素时,可能会遇到的一些问题如:
1.主量元素浓度高,仪器动态范围是否够宽?
2.测定主含量元素的同时,能否测定微量杂质元素?
3.测定主含量元素仪器是否稳定?
4.测定杂质仪器是否有足够的灵敏度?
得益于珀金埃尔默公司Avio系列ICP-OES上的独特设计,配备平板等离子体技术、双向观测模式、丰富的元素谱线库、专利性的光谱干扰校正技术(MSF,多谱拟合技术)能够有效解决上述问题。

伴随着产业的发展以及工艺的提升,对杂质的管控越发严格,杂质浓度限值一直在往下调。ICP-OES由于其仪器原理的限制,在测定低浓度杂质元素时遇到瓶颈。Cr、Cu、Fe、Zn、Pb这些元素尤其明显。据调研,部分厂家该5个元素浓度控制在1ppm以下(部分厂家Fe含量在10 ppm以内),在常规100倍固液稀释比前处理后,样品溶液中该元素浓度在10 ppb以下,因此使用ICP-OES进行检测遇到了极大的挑战,尤其在谱线干扰严重的情况下。而ICP-MS由于其灵敏度更高,检测下限更低,是一个非常好的检测手段。

图2. NexION系列ICP-MS
使用ICP-MS测试正极材料中杂质元素的挑战包括:
1. 杂质元素会受到主量元素质谱干扰;
2. 对不同类型的质谱干扰,需要不同的干扰校正模式。
通过对多个厂家的锂电正极材料做测试,运用空白实验、平行样、加标回收等质控手段进行测试,验证了珀金埃尔默NexION系列ICP-MS,标配AMS进样系统,配合大锥孔三锥设计,四极杆离子偏转器,可以获得优异的基体耐受性、仪器稳定性,以及更低的记忆效应。

图3. NexION ICP-MS测试正极材料杂质元素加标回收率

图4. NexION ICP-MS测试正极材料杂质元素校准曲线
实验结果表明,通过选择合适的同位素以及仪器强大的耐基体性能保证了数据的准确性与稳定性。该方法十分适合分析高基体锂电正极材料。
2、ICP-MS在锂电池电解液分析中的应用
电解液是锂离子电池的重要组成部分,在电池中作为离子传输的载体,使锂离子在正负极间移动。电解液通常由锂盐、溶剂和添加剂组成,其中溶剂提供离子传输介质,锂盐增强电解质的离子传输率。
电解液样品无法用传统的微波消解前处理,因为样品中含有乙醇与其他挥发性有机物,微波消解会发生爆罐。马弗炉灰化会产生大量有毒的氟化磷,而电热板消解需要大量酸同时实验人员必须在边上值守防止样品碳化,耗时且会引入污染。所以对于这类样品用有机溶剂直接溶解后快速直接进样。短时间内即可处理完样品,同时避免了容器与酸引入的污染。
珀金埃尔默公司的ICP-MS搭配全基体进样系统(AMS)为电解液中杂质元素分析提供一条全新思路。利用ICP-MS极高的灵敏度,可以采取更大稀释倍数降低Li元素带来的高盐影响,在前处理方面,仅采使用10%甲醇(电子级),50倍稀释上机,AMS使用氩氧混合气,实现加氧防止有机物积碳,同时用氩气减少基体效应。实现了电解液中杂质元素的准确、高效、环保分析。
电解液直接进样也会引入大量C相关的质谱干扰,如Mg、Al、Cr会分别受到CC、CN、ArC等干扰,另外Ar与H2O也会是K,Ca,Fe等收到干扰。NexION系列ICP-MS全系列均可使用纯氨气作为反应气体,消除相应的质谱干扰。从而获得最准确的结果。

图5. NexION ICP-MS测试电解液杂质元素1ppb(Hg 0.1ppb)加标回收率

图6. NexION ICP-MS测试电解液杂质部分元素校准曲线
3、GCMS在锂电池电解液分析中的应用
通常用于商用锂电池的电解质溶液含有锂盐、有机溶剂和一些添加剂。有机溶剂主要是环状碳酸酯,例如碳酸亚乙酯和碳酸丙烯酯,或链状碳酸酯,例如碳酸二乙酯和碳酸甲乙酯。这些碳酸盐的构成和比例对锂离子电池的能量密度、循环寿命和安全性有重要影响。因此,研究电解质溶液中碳酸盐的构成和含量对锂离子电池的开发和质量控制起着重要作用。

图7. 珀金埃尔默 GCMS 2400
珀金埃尔默 GCMS 2400配 EI 源测定了锂离子电池电解液中的9种碳酸盐。实验结果显示该方法具有良好的精确度、回收率、线性和检测限,能够满足锂离子电池行业的需求。
表1. 精确度、回收率以及方法检出限、定量限

4、GC在锂电池中鼓包气体成分分析中的应用
锂离子电池因其重量轻、能量密度高以及比其他类型电池的使用寿命长等特性,被广泛应用于动力、储能等产业。锂离子电池在循环使用或储存中,可能因为电解液组分发生成膜及氧化反应、电池过充过放、内部微短路等原因导致SEI膜分解破坏从而产生气体,也可能因电解液中的高含量水分发生电解反应等原因导致电池产气鼓包, 从而带来极大的安全隐患。因此,了解电池鼓包气体的组成对于优化电解液的组成是至关重要的。
珀金埃尔默独特的解决方案,采用气相色谱TCD和带甲烷转化炉FID检测器串接技术对锂离子电池中产生的鼓包气体进行检测,获得鼓包气体的主要成分和定量分析。常见鼓包气成分有H2,O2,N2,CO,CO2等永久性气体以及CH4,C2H4,C2H6等烷烃类气体,采用TCD和带甲烷转化炉FID检测器串接技术可以同时满足高含量的CO,CO2分析以及低含量的CO,CO2 ,CH4,C2H4,C2H6等烷烃分析,该方法CO,CO2及烷烃类检出限小于1ppm,H2检出限小于10 ppm,该方法可实现手动气密针进样以及气体阀进样,可以获得待测锂离子电池鼓包气体完整、精准的分析结果。
表2.n=7次进样的相对标准偏差(RSD%)


图7.鼓包气气体成分参考谱图
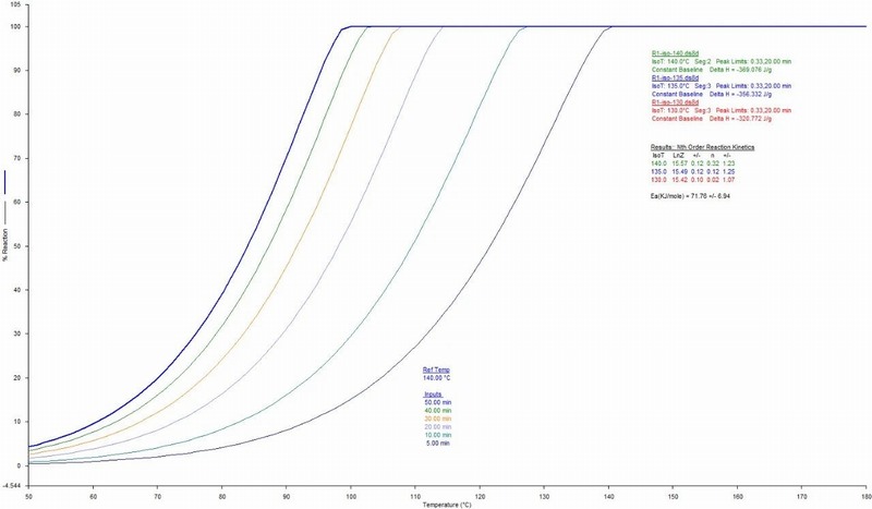
5、热分析设备在电池领域的应用简介
在电池组原材料领域, DSC设备可用来分析聚合物以及金属材料的各种相变过程以及相应吸放热量的大小(比如分析聚丙烯的玻璃化转变温度以及结晶熔融过程等);STA同步热分析仪可以研究各种材料的热稳定性,确定热分解温度,定量测定复合材料的相对组成比例等。典型图谱如下图8和图9所示;

图8 电池原材料熔融和结晶过程评价

图9 电池原材料热稳定性评价曲线
电池组件由正极、负极和隔膜等各种组件构成,珀金埃尔默公司所提供的逸出气体联用装置可用于研究各组件在温度变化过程中产生各类逸出气体的定性定量数据。图10为典型的STA-FTIR联用测试曲线;

图10 电池组件逸出气体分析测试谱图
在电池封装领域,可对组件封装材料——EVA(乙烯-醋酸乙烯共聚物)等材料的交联率进行快速测试,进而替代传统的溶剂测试法。典型测试谱图如图11所示;

图11 电池封装材料交联度预测曲线